Enargument Outline Template
Enargument Outline Template – Creating an essay outline is a crucial step in the writing process that should not be overlooked. This conceptual outline exercise is aimed at helping students to: This page introduces a framework for writing argumentative/analytical essays, following a structure dubbed “they say, i say, my critics say, i respond.”. Copy in a bustling university town, there lived a student.
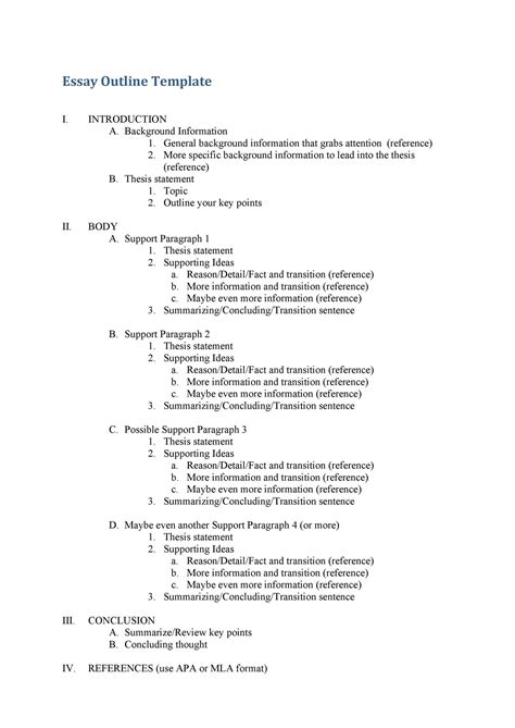
Keep in mind that these are guidelines and that your structure needs to be flexible. Classical (aristotelian), rogerian, and toulmin. Create an effective outline using an essay outline template. Below is a basic outline for an argumentative or persuasive essay.
Enargument Outline Template
Enargument Outline Template
This is only one possible outline or organization. We’ll also include argumentative essay outline examples and templates to help you understand what works. Writing an argument essay outline helps to form its layout and properly place the main elements:
What is an argumentative essay outline? So in this quick guide, we explain how to make an effective argumentative essay outline, covering all three major formats: The following is a basic outline of an argument essay.
How to create an argumentative essay outline? Published on july 24, 2020 by jack caulfield. It involves writing quick summary sentences or phrases for every point you.
Keep in mind that this is only one kind of possible organization; Thesis, background, arguments, evidence, and conclusion. The standard argumentative essay outline includes the following elements.
![]()
Alnico Stock Vector Images Alamy

Printable Star Outline

Research Paper Outline Template Following The Main Sections Wr1ter

Preventing Illustrator CC vector objects distorting when scaled Graphic Design Stack Exchange

ESD 2104 Outline Template XMind Mind Mapping Software

Compare and Contrast the Essay Outline Template room

Lathe machine tool Stock Vector Images Alamy

Outline blank for research paper

Gingerbread Man Outline Template

Create an Outline NSCC College Guide 101

Pin on Language Arts

Mla Outline Template Word PDF Template

Addictionary
![]()
Cladding white Stock Vector Images Alamy
